2026知到答案 芯片应用与验证(上海电子信息职业技术学院) 最新智慧树满分章节测试答案
模块一 单元测试
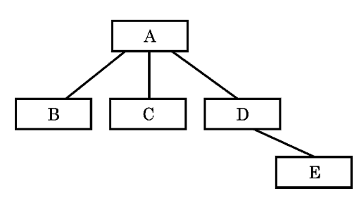
1、单选题:
模块A由B、C、D三个子模块实例化,模块D由E子模块实例化,如下图所示,选择中那个选项能顺利通过层次结构来访问模块E种的q变量赋值为1。( )
选项:
A:
B:
C:
D:
答案: 【
】
2、单选题:
下图所示代码中,模块名是( )。
选项:
A:module
B:Fulladd
C:sum
D:cout
答案: 【Fulladd】
3、多选题:
覆盖率都有那些( )
选项:
A:断言覆盖率
B:代码覆盖率
C:条件覆盖率
D:功能覆盖率
答案: 【代码覆盖率;
功能覆盖率】
4、多选题:
经典验证平台都由那些层组成( )
选项:
A:信号层
B:应用层
C:命令层
D:功能层
答案: 【信号层;
应用层;
命令层;
功能层】
5、多选题:
高级验证语言都有那些( )
选项:
A:SystemVerilog
B:SystemC
C:Python
D:C/C++
答案: 【SystemVerilog;
SystemC;
C/C++】
