2026知到答案 高等数学A1(新疆政法学院) 最新智慧树满分章节测试答案
第一章 单元测试
1、单选题:
下列哪项是数列
收敛于
的
定义的正确描述?( )。
选项:
A:存在
,对任意正整数
,当
时,有
B:对任意
,存在正整数
,当
时,有
C:存在正整数
,对任意
,当
时,有
D:对任意
,存在正整数
,当
时,有
答案: 【对任意
,存在正整数
,当
时,有
】
2、单选题:
下列哪个定理表明闭区间上的连续函数必有最大值和最小值?( )。
选项:
A:介值定理
B:零点定理
C:有界性定理
D:有界性与最大值最小值定理
答案: 【有界性与最大值最小值定理】
3、多选题:
关于无穷小的比较,以下说法正确的有( )。
选项:
A:若
,则
是比
高阶的无穷小
B:若
,则
是比
低阶的无穷小
C:若
,则
与
是等价无穷小
D:若
,则
与
是等价无穷小
答案: 【若
,则
是比
高阶的无穷小;
若
,则
是比
低阶的无穷小;
若
,则
与
是等价无穷小】
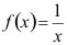
4、判断题:
函数
在
处连续。( )
选项:
A:对
B:错
答案: 【错】
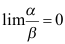
5、判断题:
极限
={5}( )
选项:
A:对
B:错
答案: 【对】
第二章 单元测试
1、单选题:
若 y = sin(2x + 3),则
为( ).
选项:
A:
B:2 cos(2x + 3)
C:
D:cos(2x + 3)
答案: 【2 cos(2x + 3)】
2、单选题:
设 y 由方程 x2 + y2 = 1 隐式定义,则
为( ).
选项:
A:
B:
C:
D:
答案: 【
】
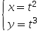
3、单选题:
参数方程
的导数
为( ).
选项:
A:
B:
C:
D:
答案: 【
】
4、多选题:
若f(x) 在x=a处可导,则下列说法正确的有( ).
选项:
A:f(c)在x=a处可微
B:f(c)在x=a处一定有定义
C:f(x)在x=a处连续
D:f(x)在x=a处可能不连续
答案: 【f(c)在x=a处可微;
f(c)在x=a处一定有定义;
f(x)在x=a处连续】
5、判断题:
函数f(x)=|x| 在x=0处可导.( )
选项:
A:错
B:对
答案: 【错】
本门课程剩余章节答案为付费内容
支付后可长期查看
有疑问请添加客服QQ:2025479448反馈
购买期末请+QQ:2025479448
如遇卡顿看不了请换个浏览器即可打开
请看清楚了再购买哦,电子资源购买后不支持退款哦
