2026知到答案 计量经济学(闽南理工学院) 最新智慧树满分章节测试答案
绪论 单元测试
1、单选题:
计量经济学成为一门独立学科的标志是( )。
选项:
A:1930年世界计量经济学会成立
B:1933年《计量经济学》会刊出版
C:1926年计量经济学(Economics)一词构造出来
D:1969年诺贝尔经济学奖设
答案: 【1933年《计量经济学》会刊出版】
2、单选题:
横截面数据是指( )。
选项:
A:同一时点上相同统计单位不同统计指标组成的数据
B:同一时点上不同统计单位不同统计指标组成的数据
C:同一时点上不同统计单位相同统计指标组成的数据
D:同一时点上相同统计单位相同统计指标组成的数据
答案: 【同一时点上不同统计单位相同统计指标组成的数据】
3、单选题:
下面属于横截面数据的是( )。
选项:
A:1991-2003年各年某地区20个乡镇企业的平均工业产值
B:某年某地区20个乡镇各镇的工业产值
C:991-2003年各年某地区20个乡镇企业各镇的工业产值
D:某年某地区20个乡镇工业产值的合计数
答案: 【某年某地区20个乡镇各镇的工业产值】
4、单选题:
计量经济模型的基本应用领域有( )。
选项:
A:弹性分析、乘数分析、政策模拟
B:季度分析、年度分析、中长期分析
C:结构分析、经济预测、政策评价
D:消费需求分析、生产技术分析
答案: 【结构分析、经济预测、政策评价】
5、单选题:
同一统计指标按时间顺序记录的数据列称为( )。
选项:
A:原始数据
B:横截面数据
C:修匀数据
D:时间序列数据
答案: 【时间序列数据】
第一章 单元测试
1、单选题:
变量之间的关系可以分为两大类,它们是( )。
选项:
A:线性相关关系和非线性相关关系
B:简单相关关系和复杂相关关系
C:正相关关系和负相关关系
D:函数关系与相关关系
答案: 【函数关系与相关关系】
2、单选题:
表示x和y之间真实线性关系的是( )。
选项:
A:
B:
C:
D:
答案: 【
】
3、单选题:
设样本回归模型为
,则普通最小二乘法确定
的公式中,错误的是( )。
选项:
A:
B:
C:
D:
答案: 【
】
4、单选题:
产量(X,台)与单位产品成本(Y,元/台)之间的回归方程为
,这说明( )。
选项:
A:产量每增加一台,单位产品成本减少1.5元
B:产量每增加一台,单位产品成本增加356元
C:产量每增加一台,单位产品成本平均减少1.5元
D:产量每增加一台,单位产品成本平均增加356元
答案: 【产量每增加一台,单位产品成本平均减少1.5元】
5、多选题:
可决系数表示为( )。
选项:
A:
B:
C:
D:
E:
答案: 【
;
;
】
第二章 单元测试
1、单选题:
在双对数模型中
,
的含义是( )。
选项:
A:Y关于X的增长量
B:Y关于X的增长速度正相关关系和负相关关系
C:Y关于X的弹性
D:Y关于X的边际倾向
答案: 【Y关于X的弹性】
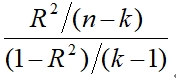
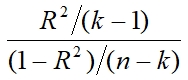
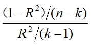
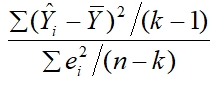
2、多选题:
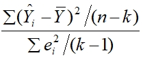
设k为回归模型中的参数个数(包括截距项),则总体线性回归模型进行显著性检验时所用的F统计量可表示为( )。
选项:
A:
B:
C:
D:
E:
答案: 【
;
】
3、多选题:
在多元线性回归分析中,修正的可决系数
与可决系数
之间( )。。
选项:
A:
B:
可能为负值
C:
D:
只能大于零
答案: 【
可能为负值;
】
4、判断题:
对不同的多元线性回归模型进行拟合优度比较时,应比较他们的ESS。( )
选项:
A:对
B:错
答案: 【对】
5、判断题:
多元模型中,F检验不通过时,T检验一定全部通过。( )
选项:
A:错
B:对
答案: 【错】
本门课程剩余章节答案为付费内容
支付后可长期查看
有疑问请添加客服QQ:2025479448反馈
购买期末请+QQ:2025479448
如遇卡顿看不了请换个浏览器即可打开
请看清楚了再购买哦,电子资源购买后不支持退款哦
